2024年以来,污污漫画
量子功能材料计算与设计团队在轻质元素高温超导电性、拓扑物性、铁电性质、镍基超导机制、二维Janus材料的多序竞争/共存等方面取得了系列进展,在Phys. Rev. B、Phys. Rev. Research、Sci. China-Phys. Mech. Astron.、Mater. Today Phys.等国际著名期刊发表学术论文13篇。下面将部分代表性工作加以介绍:
1. 在碳笼材料的高温超导电性方面

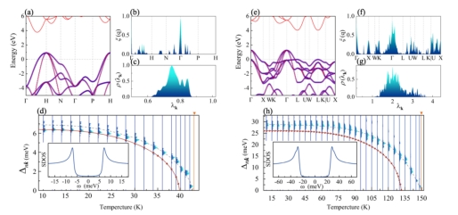
寻找具有高临界温度(Tc)的超导体一直是超导材料研究领域的核心目标。为了寻找常压下Tc超过液氮温区的超导体,本团队研究了两个具有碳笼结构的纯碳材料C6和C10的超导电性。通过空穴掺杂改变费米能级的位置成功获得了金属化的、与声子表现出强耦合的sp3杂化共价σ键合能带。基于第一性原理计算和Wannier插值技术,我们对空穴掺杂C6和C10笼的动力学、力学性能、电子结构和电子-声子耦合进行了系统地研究。结果表明费米能级处电子态密度的增大和声子的软化在增强电声耦合中都起着重要作用。通过考虑电子性质的各向异性,求解各向异性Migdal-Eliashberg方程,发现空穴掺杂C6和C10笼的Tc分别可达43 K和150 K。据我们所知,常压下150K的超导临界温度是目前碳基材料中报道过的最高Tc。此外,本征的C6和C10均表现出超高硬度(维氏硬度分别为53 GPa和44 GPa)。这项研究表明碳笼结构是探索常压下同时具有高温超导性和超高硬度材料的一个新的方向。
该研究成果以“Ambient-pressure superconductivity above 100 K in hole-doped carbon clathrates with superior hardness”为题,近期发表于凝聚态物理学旗舰期刊Phys. Rev. B 110, 104504 (2024)。团队博士研究生韩雨霖为该论文的第一作者,路洪艳教授为通讯作者。
2. 在氟化二维MXene的铁电、超导及拓扑方面

具有非平凡拓扑能带和垂直铁电性的二维本征超导体在实现量子相的静电控制方面表现出重要的特性,然而只有少数这样的二维材料在理论上得到了预测。基于第一性原理计算,本团队研究了氟化二维Nb2N的超导性、铁电性及拓扑物性。在稳定的Nb2NF2中,H3-Nb2NF2因空间反演对称性破缺而具有垂直于面方向的铁电极化性。更有趣的是,H3-Nb2NF2不仅是一种本征超导体(Tc=10 K),而且还具有非平凡的电子能带拓扑。此外,H1-Nb2NF2具有拓扑性和超导电性,Tc为32 K,超过了大多数具有拓扑和超导电性二维超导体的超导临界温度。此项研究丰富了具有能带拓扑和铁电性能的二维超导材料,并为制备受外电场调控的超导器件提供了重要的候选材料。
该研究成果以“Origin of ferroelectricity and superconductivity with nontrivial electronic topology in fluorinated Nb2N”为题,近期发表于Phys. Rev. B 110, 094507 (2024)。团队硕士研究生尹新竹为该论文的第一作者,焦娜副教授和路洪艳教授为通讯作者。
3. 在Kagome材料拓扑超导研究方面

拓扑超导的研究对非阿贝尔统计物理和拓扑量子计算的发展至关重要。目前,拓扑超导大多通过界面诱导、高压调控等方法实现,对实验条件的要求较高,因而急需寻找本征拓扑超导体。本团队与中科院强磁场科学中心郝宁研究员课题组合作,理论预言了一类新型本征层状拓扑超导体XB3 (X = Ni,Pd),其中硼原子构成Kagome晶格。电子结构计算表明,它们的能带结构具有节点面。通过计算拓扑不变量和表面态,证实它们具有强拓扑性,并具有非平庸的类Rashba型无能隙的拓扑表面态。另外,计算发现电子与低频面外振动声子的耦合导致出现超导,Tc分别为14.5 K和19.1 K。通过对高对称点K处狄拉克锥自旋织构图样的分析,进一步证实它们都是拓扑超导体。它们的超导Tc超过了大多数传统拓扑超导体候选材料和Kagome超导体。因此,XB3(X = Ni,Pd)为拓扑超导体的实验研究及其在容错量子计算中的应用提供了重要平台。
该研究成果以“Prediction of a kagome topological superconducting family: XB3 (X = Ni, Pd”)为题,发表于Phys. Rev. B 109, 054506 (2024)。团队硕士研究生肖鹏程为该论文的第一作者,路洪艳教授、张平教授和中科院强磁场科学中心郝宁研究员为通讯作者。
4. 在三层镍氧化物超导体超导机制方面


自从2023年来实验发现了双层镍氧化物高温超导体La3Ni2O7和三层镍氧化物超导体La4Ni3O10以来,如何理解镍氧化物高温超导体的超导机制成为了凝聚态物理界的重大研究热点。因此,正确构建理论模型并研究其配对对称性对理解镍氧化物超导体的微观结构与超导机制至关重要。本团队与南京大学王强华教授组合作,通过第一性原理计算研究了La4Ni3O10的电子能带结构,并根据镍的
和
轨道构建了一个最小三层紧束缚模型,然后基于泛函重整化群方法研究了局域库仑相互作用诱导的超导机制。我们发现除了面内的反铁磁关联,两个最外层(而不是近邻层)之间也具有反铁磁关联。这种有效相互作用会诱导出s±波超导配对,其在不同的费米面上会变号。此外,计算结果表明La4Ni3O10中的Tc低于La3Ni2O7中的Tc,并且电子掺杂可以进一步提高Tc。这一研究为理解镍氧化物高温超导体的超导机制提供了重要的参考,并未为后续的理论研究提供了可靠的理论模型。
该研究成果以“Effective model and s±-wave superconductivity in trilayer nickelate La4Ni3O10”为题,以Letter形式发表于Phys. Rev. B 109, L220506 (2024)。团队硕士研究生江恺悦为该论文的共同第一作者,路洪艳教授、南京大学王强华教授、王达副教授为通讯作者。
5. 在Janus材料中多种相的竞争与共存方面

为了寻找具有多种相竞争与共存的材料,本团队研究了二维Janus材料2H/1T-WXH(X = S,Se)中的电荷密度波、超导和拓扑性质。在四种Janus材料中,2H-WXH(X = S,Se)具有超导电性,其超导转变温度(Tc)分别为13.4 K和11.4 K。1T-WXH(X = S,Se)是二维电荷密度波(CDW)材料,通过分析费米面嵌套和声子线宽,发现它们的CDW来源于电声耦合,并且与超导电性之间存在竞争关系。通过施加双轴压缩应力,CDW被抑制,从而显现出超导电性,1T-WSH(-2%应力)和1T-WSeH(-4%应力)的Tc分别为12.2 K和11.9 K。上述材料的超导电性起源于W-3d电子和W原子面内声子振动模式的耦合。有效的拓扑不变量(Z2 = 1)和边缘态的存在证明了2H-WSeH和1T-WSeH(-4%应力)具有非平凡的拓扑性质。本工作预言的二维Janus材料可表现出CDW、超导、拓扑丰富物理性质。本研究不但为进一步探索二维Janus材料提供了重要的理论指导,而且为二维材料中多种序的竞争/共存研究提供了思路。
该研究成果以“Prediction of charge density wave, superconductivity and topology properties in two-dimensional Janus 2H/1T-WXH (X = S, Se)”为题,发表于国际著名期刊Mater. Today Phys. 46, 101485 (2024)。团队硕士研究生乔树祥和江恺悦为该论文的共同第一作者,焦娜副教授和路洪艳教授为通讯作者。
6. 在二维碳基材料高温超导研究方面

二维超导体不仅具有无耗散特性,还具有尺寸小、易调控等优势,因而在超导微纳器件中有重要的潜在应用价值。近年来,多种二维超导体被预言或制备,但超导转变温度(Tc)普遍较低,有必要寻找二维高温超导体。本文团队与中国散裂中子源王保田副研究员组合作,基于第一性原理计算,在Be原子插入T-graphene的结构(BeC2)中发现接近液氮温区的高温超导电性。计算得到电声耦合常数λ为4.07,相应的超导度Tc为72.1 K,接近液氮温度。Tc较高的原因是强电声耦合,这源于C-pz轨道电子与Be和C原子平面内振动的耦合。通过对BeC2的超导能隙∆k的分析,证明了它是一种各向异性的单能隙超导体。电子磁化率计算表明,BeC2具有很强的费米面nesting效应。由于表现出如此强电声耦合的二维超导体非常罕见,预测的BeC2为研究强电声耦合二维超导体提供了一个新的平台。
该研究成果以“Strong-coupling superconductivity with Tc above 70 K in Be-decorated monolayer T-graphene”为题,发表于物理学权威期刊Sci. China-Phys. Mech. Astron.67, 217412 (2024)。 团队硕士研究生杨柳和中国散裂中子源刘鹏飞副研究员为该论文的共同第一作者,路洪艳教授、张平教授、中国散裂中子源王保田副研究员为通讯作者。
污污漫画
量子功能材料计算与设计团队主要开展新型量子功能材料的计算与设计研究。2019年12月,获批为山东省高等学校青创人才引育计划立项建设团队。近五年,团队在新型量子功能材料的超导、拓扑、铁电、磁性等方面取得了系列研究成果,在Phys. Rev. B、Phys. Rev. Research、Phys. Rev. Mater.、China-Phys. Mech. Astron.、Mater. Today Phys.等国际著名期刊发表论文50余篇(其中,在美国物理学会Phys. Rev.系列发表论文15篇), 受到同行的广泛关注。2023年12月,团队被评为污污漫画
“优秀研究生导学团队”。系列研究工作得到了国家自然科学基金面上项目、山东省高等学校青创人才引育计划团队项目、山东省自然科学基金面上项目、山东省自然科学基金重大基础研究项目以及污污漫画
人才引进基金等资助。
供稿审核:刘广强
编辑审核:王文志
终审:满忠晓